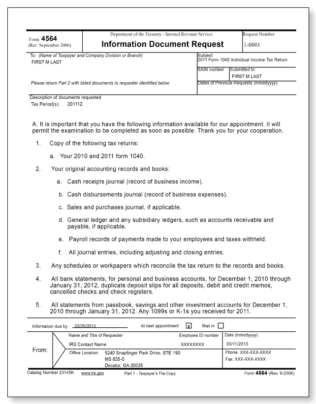
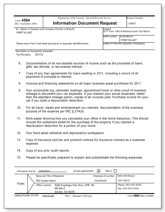
IRS Audit Letter 2205-A - Sample 5

This sample IRS tax audit notice was sent to one our members in Atlanta, Georgia (GA). IRS Letter 2205-A and Catalog Number 37456E indicates our member's federal income tax return was selected for an examination. The preliminary items identified for this examination are: (1) Schedule C1 - Gross Receipts or Sales, (2) Home Mortgage Interest, and (3) Non-Cash Contributions. This IRS audit notice also includes Form 4564 (Information Document Request).

Personal information has been redacted to protect our member’s privacy.
IRS Audit Letter 2205-A - Sample 5 IRS Audit Letter 2205-A - Sample 5 IRS Audit Letter 2205-A - Sample 5 IRS Audit Letter 2205-A - Sample 5 IRS Audit Letter 2205-A - Sample 5