IRS Audit Letter 2205-A - Sample 9

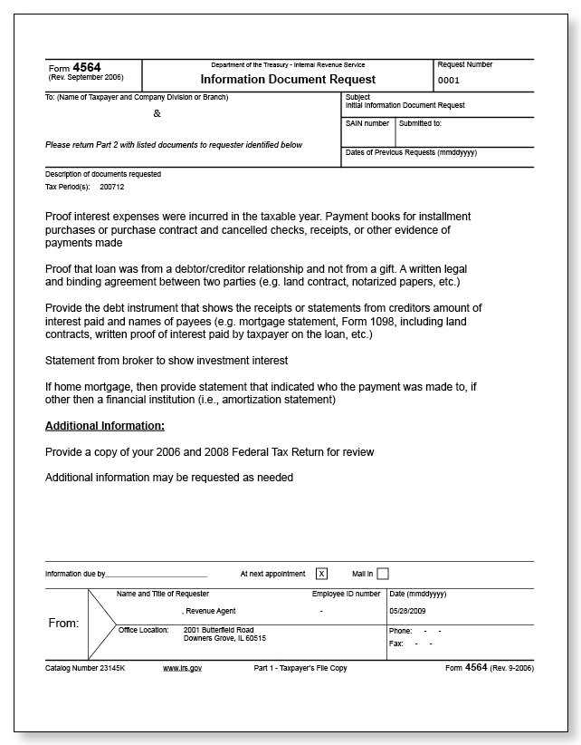
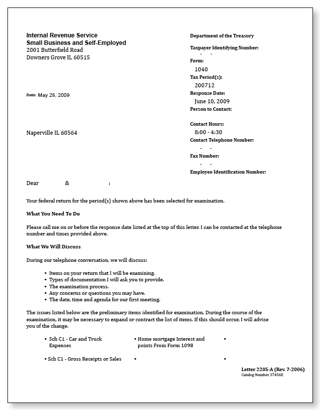
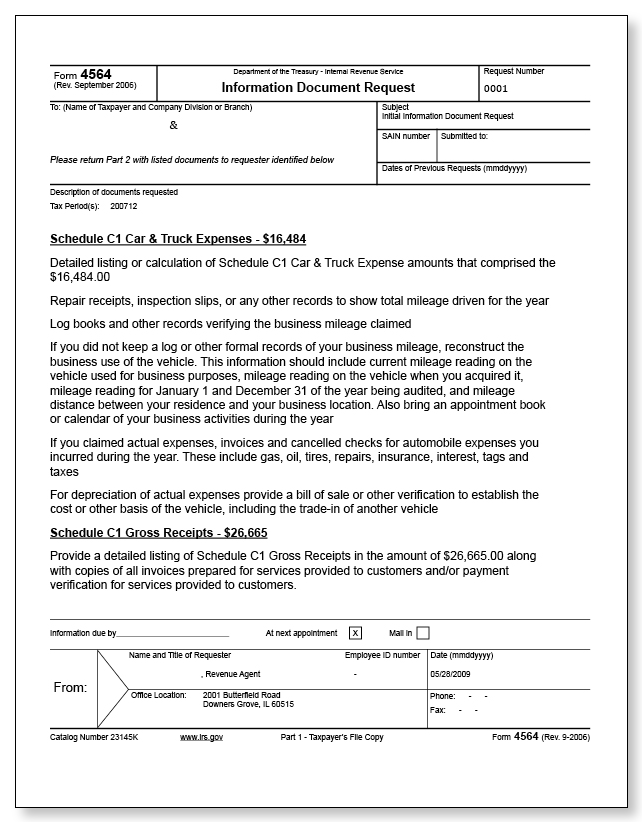
This sample IRS tax audit notice was sent to one our members in Naperville, Illinois (IL), a suburb of Chicago. IRS Letter 2205-A and Catalog Number 37456E indicates our member's federal income tax return was selected for an examination. The preliminary items identified for this examination are: (1) Sch C1 - Car and Truck Expenses, (2) Home Mortgage Interest and points from Form 1098, and (3) Sch C1 - Gross Receipts or Sales. This IRS audit notice also includes Form 4564 (Information Document Request).

Personal information has been redacted to protect our member’s privacy.
IRS Audit Letter 2205-A - Sample 9 IRS Audit Letter 2205-A - Sample 9 IRS Audit Letter 2205-A - Sample 9 IRS Audit Letter 2205-A - Sample 9 IRS Audit Letter 2205-A - Sample 9