IRS Audit Letter 2205-B - Sample 2

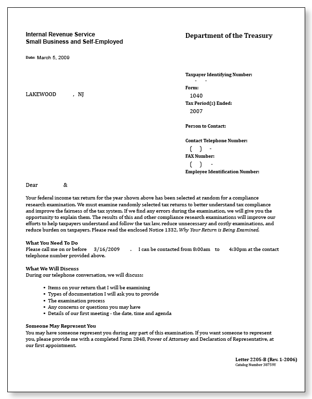
This sample IRS tax audit notice was sent to one our members in Lakewood, New Jersey (NJ). This IRS Letter 2205-B and Catalog Number 38759Y tells our member his or her 1040 tax return was selected at random for a compliance research examination.

Personal information has been redacted to protect our member’s privacy.
IRS Audit Letter 2205-B - Sample 2 IRS Audit Letter 2205-B - Sample 2