IRS Audit Letter 3572 - Sample 2

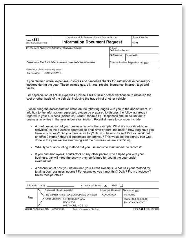
IRS Letter 3572 and Catalog Number 34402C tells our member his or her 1040 tax return was selected for examination. Primarily this audit will focus on: (1) Schedule Cl - Car & Truck Expenses/Travel, (2) Schedule C2 - Other Expenses - Vendor Fees, and (3) Schedule A - Contributions/Unreimbursed Employee. This IRS notice also includes Form 4564 (Information Document Request).

Personal information has been redacted to protect our member’s privacy.

IRS Audit Letter 3572 - Sample 2 IRS Audit Letter 3572 - Sample 2 IRS Audit Letter 3572 - Sample 2 IRS Audit Letter 3572 - Sample 2 IRS Audit Letter 3572 - Sample 2 IRS Audit Letter 3572 - Sample 2 IRS Audit Letter 3572 - Sample 2 IRS Audit Letter 3572 - Sample 2 IRS Audit Letter 3572 - Sample 2 IRS Audit Letter 3572 - Sample 2 IRS Audit Letter 3572 - Sample 2 IRS Audit Letter 3572 - Sample 2 IRS Audit Letter 3572 - Sample 2 IRS Audit Letter 3572 - Sample 2 IRS Audit Letter 3572 - Sample 2 IRS Audit Letter 3572 - Sample 2 IRS Audit Letter 3572 - Sample 2 IRS Audit Letter 3572 - Sample 2