IRS Audit Letter 566(CG) - Sample 3

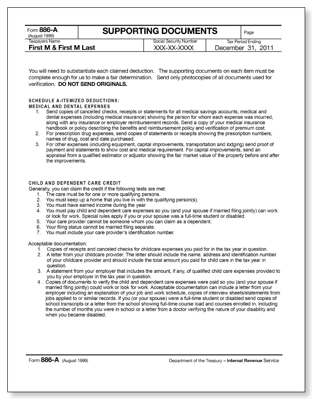
This sample IRS tax audit notice was sent to one our members in Independence, Missouri (MO). IRS Letter 566(CG) and Catalog Number 27225H requests additional information to substantiate claims on our member’s 1040 tax return. Specifically, this notice deals with Schedule A - Itemized Deduction, Medical & Dental Expense, Tax Credits, and Child Care Credit. This IRS notice also includes Form 866-A (Supporting Documents).

Personal information has been redacted to protect our member’s privacy.

IRS Audit Letter 566(CG) - Sample 3 IRS Audit Letter 566(CG) - Sample 3 IRS Audit Letter 566(CG) - Sample 3