IRS Audit Letter CP14I - Sample 1

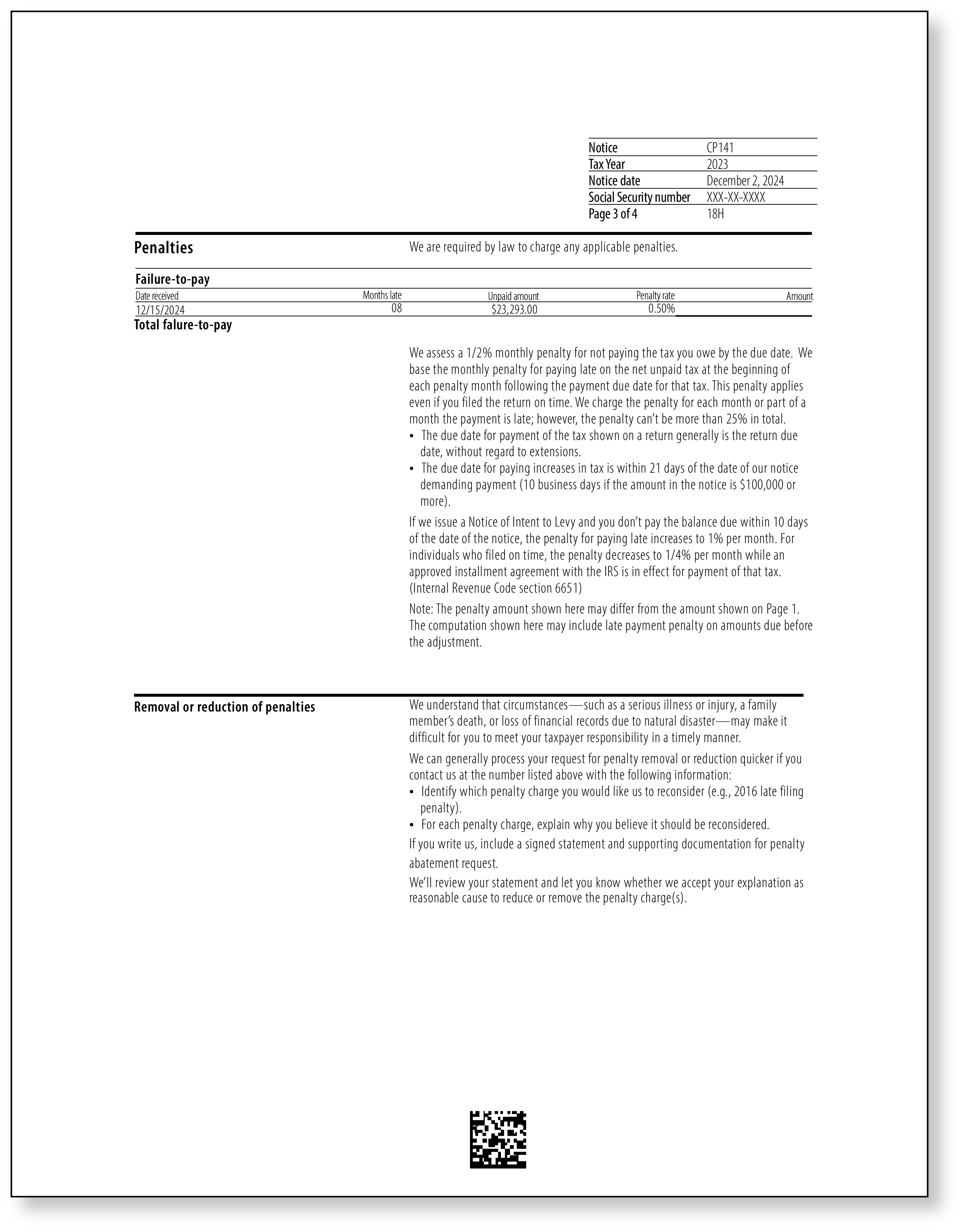
IRS Letter CP14I tells the taxpayer he or she has unpaid taxes and the reason why. In this particular CP14I, the taxpayer exceeded the maximum contribution to his or her Traditional IRA, resulting in owed taxes. If you owe the IRS taxes, the experts at TaxAudit are dedicated to helping you find the best solution for paying your state or IRS tax debt. Start with a free consultation.

Personal information has been redacted to protect our member’s privacy.

IRS Audit Letter CP14I - Sample 1 IRS Audit Letter CP14I - Sample 1 IRS Audit Letter CP14I - Sample 1 IRS Audit Letter CP14I - Sample 1